The Lorenz System -- Scientific Computation and Visualization

Heteroclinic.net logo

www.heteroclinic.net

This problem is studied as part of Zhikai Wang's master research. The computation tool is AUTO. Under the direction of the supervisor and by extending AUTO demos, some results are obtained. For example the 1,024 heteroclinic connections for some specific parameter settings.

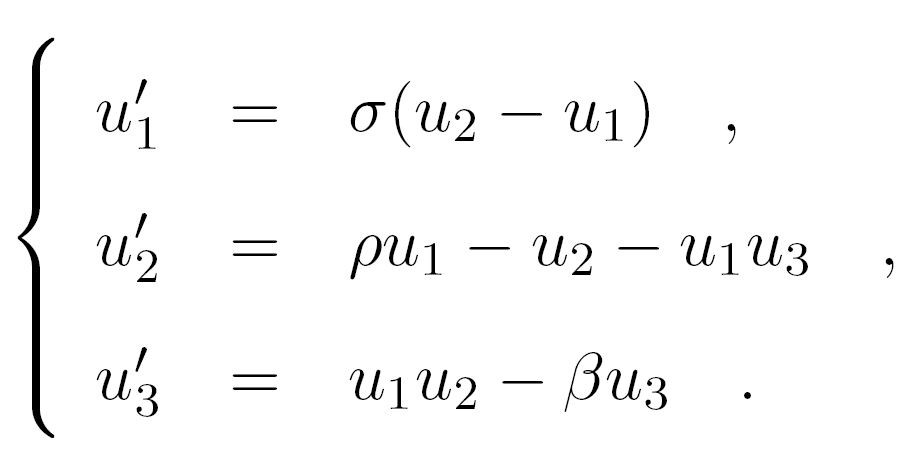
1. Formalization of the system

2. Compute the stable manifold of the origin by AUTO

It gives a better sense of how a planar disc 'rolls' under the evolution laws. At the same time, we also see clearer the role that 'rho' plays.

Put two manifolds, rho=15 and rho=60, in the same scene.

The symbols sequence of heteroclinic connections, rho=28.

Does it show the Poincare sections of the unstable manifolds of the secondary equilibria? That reminds me `Zhou Yi', ``Taichi sheng liang yi...''.

3. There are more discussions in my master thesis

Of course, there are numerous literatures for this problem.